이문아이파크자이 무순위 청약, 152세대 줍줍!

2023년 10월 분양 4,321세대 대단지 이문아이파크 무순위 사후 1차 줍줍을 진행합니다. 서울 대단지 계약 포기 속출이라는 언론기사가 연이어 올라오고 있습니다. 자세히 살펴보니 상품성이 애매했었던 3단지의 계약률이 매우 낮았으며, 1/2단지는 대부분 계약이 완료되고 단 27세대만 줍줍으로 나왔습니다. 분양가격이 다소 높다는 의견이 많았지만, 청약 결과는 정반대였습니다. 무순위 청약은 청약통장이 필요 없는 전국 줍줍입니다. 서울 신축 대단지 아파트에 많은 분들이 관심을 가질 듯합니다. 그럼 이문아이파크자이 무순위 청약, 사후 1차 줍줍에 대해서 살펴보겠습니다.
이문아이파크 무순위 청약
이문아이파크 무순위 청약 신청

이문아이파크자이 무순위 청약 신청은 ' 자체홈페이지 ' 에서 접수를 받습니다. 지금 바로 확인 해보시길 바랍니다.
→ 이문아이파크자이 무순위 청약 신청!(i-park.com/imun)
이문아이파크자이 무순위 모집공고
이문아이파크자이 입지환경


| 위치 | 서울특별시 동대문구 이문동 149-8 (이문3구역 재개발) |
| 규모 | 최고 41층 25개동 4,321세대 |
| 공급 | 23년 10월 20~99m2 1,467세대 일반분양 |
| 3단지 제외 1,337세대 중 1,310세대 계약 완료 | |
| 무순위 사후 공급 | 2단지 84A 타입 27세대 무순위 사후 공급 |
| 3단지 130세대 중 125세대 무순위 사후 공급 | |
| 교통 | 외대역 약 450m |
| 학군 | 초등학교 약 450m |
| 환경 | 천장산, 중랑천, 경희의료원 등 |
| 특이사항 | 2023년 10월 일반분양 |
| 1,467세대 중 152세대 무순위 사후 공급 |
서울특별시 동대문구 이문동, 이문3구역 재개발 ' 이문아이파크자이 '입니다. 지역명, 브랜드이름으로만 네이밍 하였습니다. 브랜드는 아이파크 그리고 자이입니다. 자신감이 보이는 단지명이며 자신감의 원천은 매머드급 대단지입니다. 최고 41층 25개 동 4,321세대입니다. 다만, 1단지 2단지가 아닌 하나의 느낌을 주는 것이 추후 문제를 예방할 수 있을 듯합니다. 서울 신축역세권 대단지 아파트입니다. 외대역 약 450m 초등학교 약 450m입니다. 초등학교부터 고등학교까지 1km 이내에 있는 학세권 아파트입니다. GTX 중심 청량리역이 가까워 향후 편리한 대중교통을 이용할 수 있을 듯합니다. 주변일대가 재개발이 진행이 되고 있는 만큼 향후 생활 인프라 개선을 기대해 볼 만합니다. 다만, 역으로 추후 도로확장이 없다면 자차이용 시 많은 불편함이 예상이 됩니다.
이문아이파크자이 무순위 평면도



| 무순위 청약 | 2단지 84A만 27세대 |
| 나머지는 모두 3단지 | |
| 84A 경쟁률 | 75세대 일반공급 2,346건 접수 경쟁률 약 25대 1 당첨가점 61점 ~ 71점 |
2단지 84A 타입입니다. 3베이 판상형 맞통풍 구조입니다. 알파룸, 팬트리가 없는 것은 아쉬움이 있습니다. 그래도 높은 경쟁률 25 대 1, 그리고 당첨가점은 61점 ~ 71점 기록하였습니다. 좋은 평가를 받았습니다. 금회 무순위 청약을 통해서 27세대 입주자를 모집합니다. 나머지 타입은 모두 3단지입니다. 사이버 모델하우스에 방문하여 평면도를 확인해보시길 바랍니다.
이 달의 중요체크 청약 단지
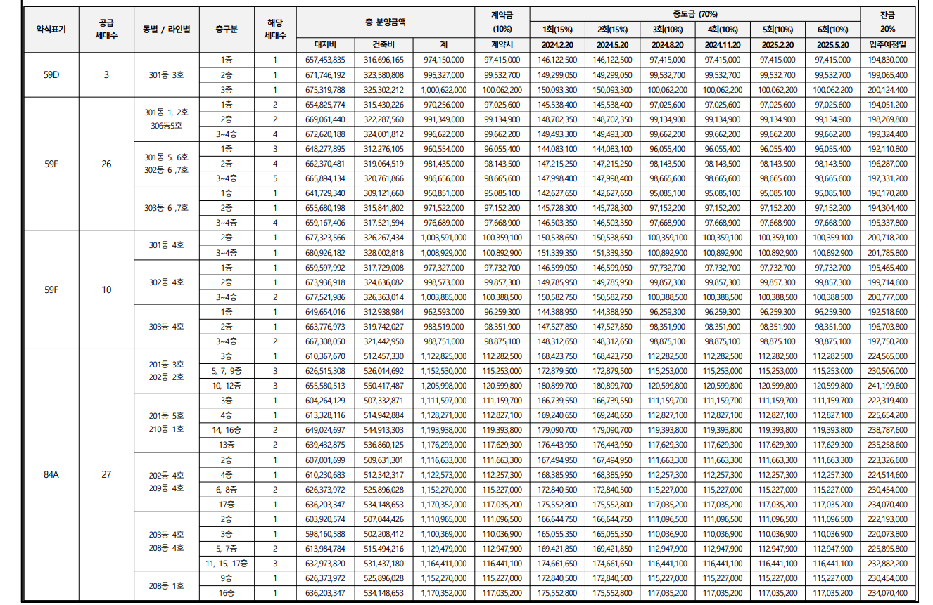
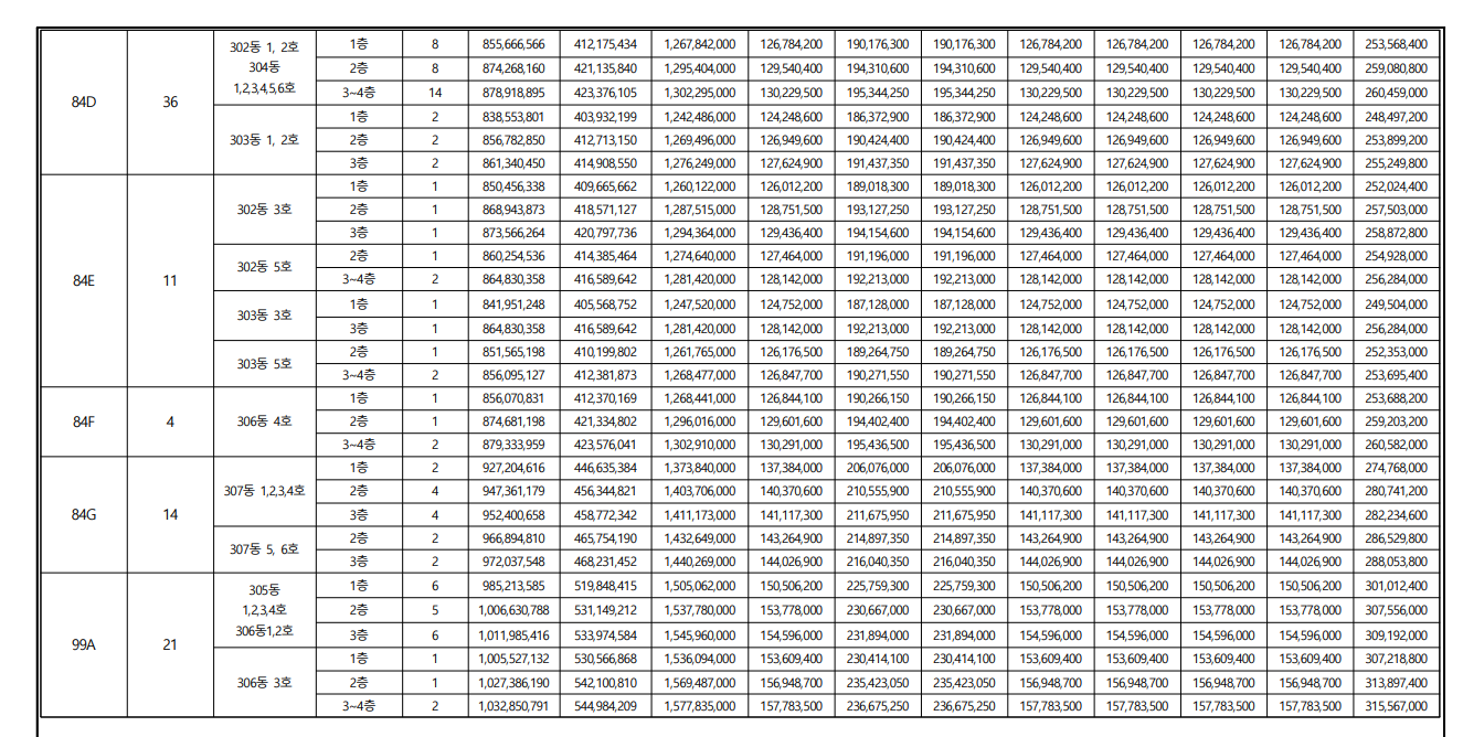
이문아이파크자이 무순위 분양가


| 3단지 | |
| 59D(3세대) 59E(26세대) 59F(10세대) | 최고 10.06억 |
| 84D(36세대)84E(11세대)84F(4세대)84G(14세대) | 최고 13.02억 |
| 84G(14세대),99A(21세대) | 최고 14.40억 |
| 99A(21세대) | 최고 15.77억 |
| 2단지 | |
| 84A (27세대) | 최고 11.76억 |
아파트 형태의 1~2단지, 테라스 형태의 3단지 입니다. 대지지분이 높다고 하지만 분양가 상당합니다. 3단지는 커뮤니티 시설에 대한 안내도 없습니다. 무언가 불안함이 있습니다. 3단지의 청약 경쟁률은 괜찮았지만 계약률은 5% 넘지 못하고 130세대 중 125세대가 줍줍으로 나왔습니다. 결국 1/2단지는 84A 27세대 줍줍으로 나왔습니다. 많은 분들이 84A타입에 관심을 가질 듯합니다.
이문아이파크자이 중도금 대출
| 84m2 분양가 | 약 12억 |
| 계약금 60% | 1.16억 |
| 중도금 10% | 자납 (혹은 연체) |
| 입주 시 필요자금 (LTV 70% 12억) |
약 4억원 내외 |
| 전세 가능 |
이문아이파크자이 함정이 있습니다. 바로 중도금 70% 입니다. 계약금 10% 현금, 중도금 10% 현금, 중도금 60% 이자후불제 조건입니다. 고금리로 인한 부담이 있지만 자금이 일시적으로 부족하다면 중도금 10% 연체는 가능할 듯합니다. 입주 시에는 LTV 70% 12억 원 기준 약 4억 원 내외 현금이 필요할 것으로 예상이 됩니다. 입주 전 최소 필요자금은 분양가 10~20%입니다.
이문아이파크자이 무순위 청약조건
| 무순위 청약 조건 | 국내 거주하는 성년자 |
| 청약통장 가입여부 무관 | |
| 재당첨제한 기간내에 있어도 가능 |
이문아이파크자이 무순위 청약 자격입니다. 국내에 거주하고 있는 성년자라면 누구나 신청할 수 있습니다. 청약통장 가입 여부 무관, 재당첨제한 기간 내에 있어도 신청을 할 수 있습니다.
이문아이파크자이 줍줍 청약 일정

| 모집공고일 | 12월 13일 |
| 무순위 청약 | 12월 15일 |
| 당첨자 발표일 | 12월 15일 |
| 계약일 | 12월 19일 |
| 입주 예정월 | 2025년 11월 |
무순위 청약 신청일은 12월 15일, 자체홈페이지를 통해서 진행을 합니다. 당첨자는 무순위 청약 접수일에 바로 안내 및 홈페이지 공지 예정입니다. 입주는 2025년 11월 예정입니다.
이문아이파크자이 모델하우스

이문아이파크자이 모델하우스, 자체홈페이지를 통해서 무순위 청약 신청을 할 수 있습니다.
→ 이문아이파크자이 무순위 청약 신청!(i-park.com/imun)
이문아이파크자이 줍줍 최종 의견
| 지구 | 비규제지역 분양가상한제 미적용 |
| 재당첨제한 | 없음 |
| 전매제한 | 1년 |
| 거주의무 | 없음 |
| 당첨자 선정 | 100% 추첨 |
| 최종의견 | 절묘했었던 분양가 |
| 서울 신축 대단지 아파트 경쟁률 확인 | |
| 1~2단지 계약률 약 98% | |
| 84A 27세대 높은 경쟁률 예상 | |
| 쉽지 않을 듯 한 3단지 |
비규제지역 분양가상한제 미적용 단지입니다. 무순위 사후 접수인 만큼 재당첨제한은 적용받지 않습니다. 전매제한 1년, 거주의무는 없습니다. 당첨자는 100% 추첨으로 선정합니다. 청약자 입장에서 비싸게 느껴졌지만, 3단지 최고분양가로 인함이 있었습니다. 안전마진은 없지만, 시세 수준의 분양가는 좋은 평가를 받았습니다. 서울 신축 대단지 아파트의 인기를 확인할 수 있었습니다. 84A타입은 매우 높은 경쟁률이 예상이 됩니다. 3단지의 경우 너무나 많은 분들이 계약을 포기했습니다. 완판까지는 꽤 오랜 시간이 필요해 보이는 3단지입니다. 이상 이문아이파크자이 무순위 청약, 줍줍 안내를 마치겠습니다.
댓글